九万里山河入怀,五千年文明梦醒。这个金秋,七初2025届学子度过了一段奇幻之旅:徜徉百年前的时光,吟咏五千年的辉煌。挥洒笔墨,击声振韵,寻华夏风骨,抒家国情志。
PART 01金声玉韵
“假如我是一只鸟,我也应该用嘶哑的喉咙歌唱……”
——艾青《我爱这土地》
曾有人用嘶哑的喉咙,歌唱这土地;曾有人用残损的手掌,抚过这山河;曾有人用寸寸丹心,刻下五千年的辉煌。五千年的浩然正气,五千年未曾弯折的脊梁,在彼此的血脉恒久弥远。而今,七初的新青年们,请纵情歌颂我们的华夏,请放声吟咏我们的诗篇!
△天环校区2025届8班 张砺寒
△锦城校区2025届4班 赵紫懿
△锦城校区2025届6班 龚昱城
△锦城校区2025届8班 赵聃
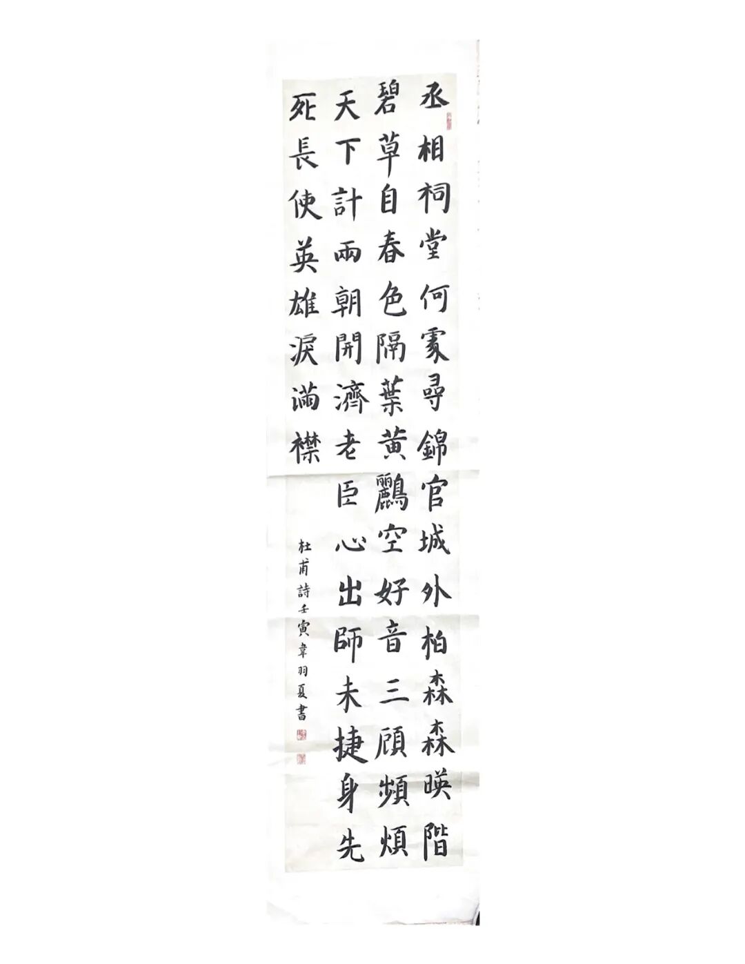
PART 02铁画银钩
“怳怳如闻神鬼惊,时时只见龙蛇走。”——李白《草书歌行》
字出鬼神泣,笔落逗秋雨。钩连筋络,以字承炎黄风骨;描情画意,以文载华夏风韵。
△天环校区2025届10班 杨媛熙
△天环校区2025届8班 颜岑沛薪
△天环校区2025届5班 邓宇彤
△天环校区2025届7班 梁俊鹏
△天环校区2025届1班 聂煊廷
△天环校区2025届8班 李言蹊
△天环校区2025届7班 王思媛
△天环校区2025届11班 冯立妍
△天环校区2025届1班 郑易一
△天环校区2025届7班 胡馨之
△天环校区2025届3班 江沛恩
△天环校区2025届8班 高子涵
△天环校区2025届3班 韦羽夏
△锦城校区2025届6班 陈子瑜
△锦城校区2025届10班 骆思源
△锦城校区2025届4班 刘子菱
△锦城校区2025届2班 陈禹贤
△锦城校区2025届3班 何怀鸿
△锦城校区2025届4班 赵紫懿
△锦城校区2025届6班 张恩浩
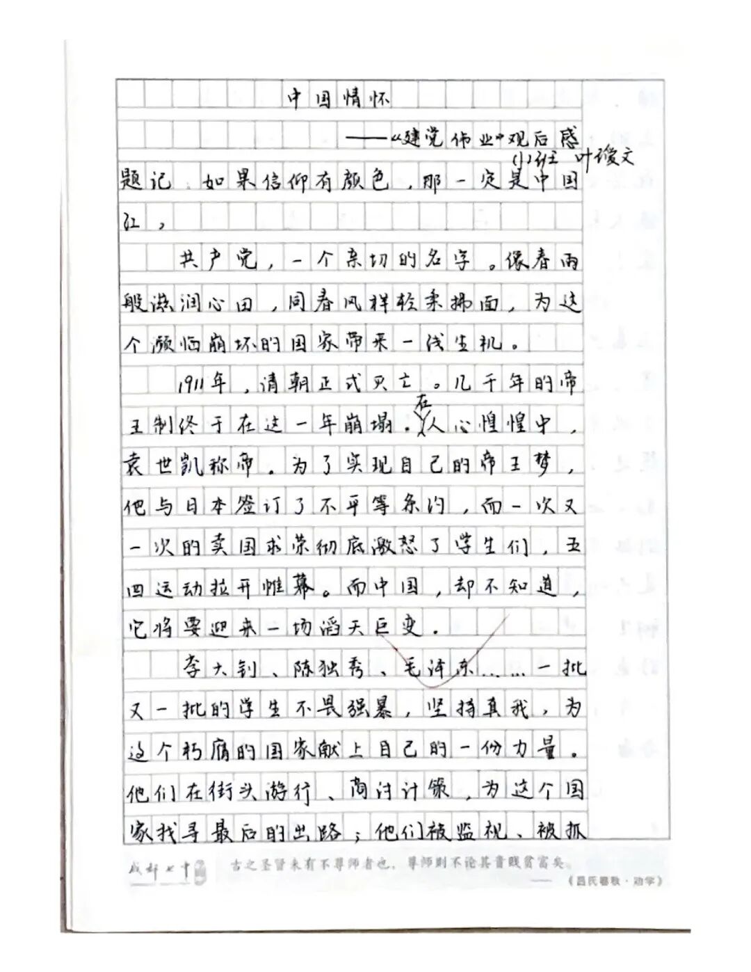
PART 03爱我中华
“红日初升,其道大光。”——梁启超《少年中国说》
荧幕上风云变幻,潸然不知身是客;光影间百年家国,四海为家孰主宾?时代之青年,请以史为鉴、以人为镜,照当下之世,抒家国之情,立凌云之志。
△天环校区2025届8班 颜岑沛薪
△天环校区2025届2班 张艺馨
△天环校区2025届1班 叶瑷文
于情境中历千秋家国梦;
于实践中立华夏儿女志。
山河入怀,家国入梦,请君为我倾耳听……
版权所有:成都七中初中学校 技术支持:四川省成都市第七中学初中学校信息科技中心 备案序号: 蜀ICP备10018534号
学校地址:成都高新区天环街199号(天环校区) 成都高新区荟锦路63号(锦城校区) 邮政编码:610041